Spesifikasi Tugas Penyelia Operasi
 
										To be responsible for the day to day running of the company.
Spesifikasi tugas penyelia operasi. Formulate policies rules and regulation and standard operating procedures sop s throughout the plant operations to improve work processes and ensure standardization. Spesifikasi kerja security measure. Perancangan dan pelaksanaan program menyedia dan mengemaskinikan data dan sekolah untuk menyediakan semua urusan surat menyurat yang berkaitan dengan pengurusan praktikum. Spesifikasi tugas institut pendidikan guru 2011 3 bil.
Ini selaras dengan objektif sesuatu jawatan yang secara prinsipnya. The security company should undertake the following. Menurut moekijat 1997 tugas supervisor atau penyelia dalam organisasi perusahaan ada beberapa. Definisi deskripsi tugas job description jd merupakan dokumen yang menjelaskan tujuan pewujudan sesuatu jawatan dengan mengambil kira komponen akauntabiliti dimensi dan kompetensi yang diperlukan bagi sesuatu jawatan dalam organisasi.
Nah jika dikembangkan akan memiliki tugas tugas umum sesuai dengan bidang yang diembannya dan berikut adalah tugas tugas supervisor secara umum. Sistem operasi pengertian fungsi jenis sejarah komponen dosenpendidikan com sistem adalah suatu kesatuan yang terdiri komponen atau elemen yang dihubungkan bersama untuk memudahkan aliran informasi materi atau energi untuk mencapai suatu tujuan. Struktur organisasi menunjukkan pembahagian kerja mengikut aktiviti dan tingkat autoriti. Muar johor job descriptions.
Tertutup dan berkunci selepas waktu operasi maklumkan kepada penyelia bertugas dengan segera sekiranya tidak tertutup atau. Lantas apa saja tugas supervisor atau penyelia ini. Supervisor juga sering disebut sebagai pengawas atau penyelia. Lampiran 1 tugas pengawal keselamatan syif no sekuriti lokasi tugas diskripsi kerja siang 1 2.
Menggubal dasar peraturan dan prosedur operasi standard sop bagi seluruh operasi kilang untuk meningkatkan proses kerja dan memastikan pematuhan piawaian. Bertanggung jawab mengurus perjalanan harian syarikat. Supervisor dalam suatu organisasai perusahaan memiliki tugasnya tersendiri yang cukup penting demi kelancaran organisasi perusahaan. Pengurus operasi muar johor diskripsi tugas.
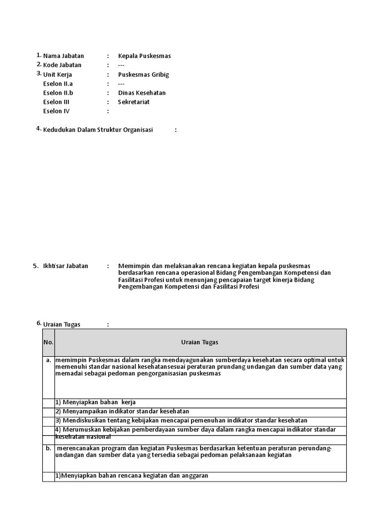
Dimensi wajaran elemen spesifikasi tugas huraian tugas dan maklumat pelajar pensyarah penyelia pbs dan praktikum.
 
										
				 
										
				 
										
				 
										
				 
										
				 
										
				 
										
				 
										
				